浙江大學夏振華長聘副教授團隊發表論文:可壓縮槽道湍流中平均溫度分析的統一框架
研究背景:可壓縮壁湍流中動量與熱量傳輸的非線性耦合作用對于開發降階模型、改進氣動力與氣動熱的預測具有重大意義。現有研究中對平均溫度場的建模主要分為兩類:一類基于速度與溫度場之間的某種內在相似性假設構建平均溫度-速度關系,即雷諾比擬理論;另一類則試圖消除可壓縮效應,將平均溫度剖面映射到符合壁面律的對應“不可壓縮”狀態上,即可壓縮變換方法。然而,目前尚缺乏一個直接從平均動量和能量方程出發,構建平均溫度-速度關系與開發平均溫度變換的統一框架。
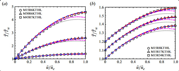
本文基于簡化的總剪切應力和總熱流方程,在可壓縮槽道湍流中直接推導了平均溫度與速度的關系,核心在于引入混合普朗特數的概念。研究發現,混合普朗特數在半局部壁面法向坐標下呈現出近乎普遍的近壁分布特性,與馬赫數、雷諾數以及壁溫參數無關,且可由阻尼函數有效建模(圖1)。與目前最先進的廣義雷諾比擬(GRA)關系相比,所提出的平均溫度-速度關系在對稱槽道中具有相當精度(圖2),在非對稱情形下表現出顯著優勢(圖3)。通過引入平均溫度分解,本文進一步揭示GRA關系僅能捕捉與湍流產生與平均耗散相關的分量,而無法涵蓋由非對稱熱邊界引起的額外熱輸運貢獻。此外,本文還建立了可壓縮總熱流方程與其“不可壓縮”狀態的聯系,推導了平均溫度變換的一般形式。在統一現有方法的基礎上,其允許結合更先進的平均速度標度,從而進一步提升變換的準確性。本文為可壓縮壁湍流中平均動量與能量的輸運提供了一些新的物理見解,并有望在未來應用于近壁溫度的建模。
相關研究成果以Rapids形式發表在流體力學頂級期刊Journal of Fluid Mechanics,題目為“A unified framework for mean temperature analysis in compressible turbulent channel flows”。浙江大學航空航天學院博士生朱栩柯是該文第一作者,夏振華長聘副教授是該論文通訊作者。該研究得到了國家自然科學基金(92152101, 92152301)資助。
原文鏈接: https://doi.org/10.1017/jfm.2025.10173
圖1. (a)具有對稱等溫壁以及(b)具有非對稱熱邊界條件的可壓縮槽道湍流中,混合普朗特數在半局部壁面法向坐標下的分布。黑色實線表示本文提出的阻尼函數模型。
圖2. 所提出的平均溫度-速度關系(藍色虛線)及其近似(粉色點劃線以及灰色點線),以及GRA關系(紅色實線)與對稱可壓縮槽道湍流DNS數據(符號)的對比。
圖3. 所提出的平均溫度-速度關系(藍色虛線)及其近似(粉色點劃線以及灰色點線),以及GRA關系(紅色實線)與非對稱可壓縮槽道湍流DNS數據(符號)的對比。 |




